橱柜门板用什么材料好 选最适合最实用的
宝宝的肾脏里发现结石, 三聚氰胺 再作祟 原创
8月26日生意社三聚氰胺基准价为6750.00元 吨
聚集新势能 实现新突破 银川 三新 产业发展势头强劲
北京三聚氰胺双饰面门板厂家,北京三聚氰胺双饰面门板厂家生产厂家,北京三聚氰胺双饰面门板厂家价格
临沂三聚氰胺双面贴纸机哪家好 江西贴纸机
冲刺四季度,决胜全年度 攀钢人已起飞......
典型案例通报
【杭州哪里有做圆柱子模板的,圆柱木模具厂家,清水圆模具批发,厂家直销】-
三聚氰胺热压机进板出板刮边翻板码垛机
强强联合 三聚氰胺浸渍纸表面uv涂装板受市场追捧之因
三聚氰胺浸渍纸生产线及制作工艺
绵阳地板 防静电地板 三聚氰胺支架静电地板 绵阳市美福来建材
三聚氰胺板厂家哪家强 鹏鸿木业,绿色家居木材装饰引领品牌图片
白色密度板报价 厂家
2023年三聚氰胺行业市场现状 产能过剩严重,海外需求持续增长
食品行业少为人知的标签潜规则
凯氏定氮仪测定三聚氰胺中的氮含量
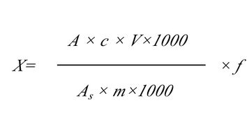
高效液相色谱仪测定原料乳与乳制品中三聚氰胺含量
卸完煤油装豆油,原来 老干妈 真被误伤了
如若转载,请注明出处:http://www.xinqiangwood.com/product/list-10.html